domingo, 4 de diciembre de 2011
La conservación de los ecosistemas.
Muy cerquita de Cartagena tenemos un parque natural precioso. El parque natural de Calblanque, ¿cómo podemos ayudar a su conservación?.
Exposición de plantas aromáticas y medicinales.
A lo largo de este trimestre hemos investigado y buscado información sobre las plantas medicinales más utilizadas en nuestro entorno. Gracias a vuestra colaboración, hemos descubierto que muchas plantas se han utilizado y se utilizan para tratar diversas dolencias y también para servir de delicias culinarias. Hemos visto, tocado y olido numerosas de ellas y, juntos, hemos hecho una pequeña exposición adjuntando a cada semilla, fruto o planta una pequeña descripción de su uso.
¡Felicidades por vuestro esfuerzo y trabajo!
miércoles, 30 de noviembre de 2011
sábado, 26 de noviembre de 2011
¿Qué es un ecosistema?
Para repasar lo que explicamos en clase el viernes, así puedes comprobar si te lo has estudiado bien.
miércoles, 23 de noviembre de 2011
martes, 22 de noviembre de 2011
martes, 15 de noviembre de 2011
Palabras agudas, llanas y esdrújulas.
¿Queréis repasar las palabras agudas, llanas y esdrújulas? En cada una de estas imágenes lo podéis hacer.
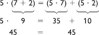
Repaso las tablas.
Para aquellos que quieran repasar las tablas y comprobar que se las saben de rechupete....os dejo este divertido juego.
domingo, 13 de noviembre de 2011
Las rocas y los minerales.
Si queréis comprobar si os sabéis bien la primera parte del tema de las rocas y los minerales, aquí podéis comprobarlo. Pinchad en cada una de las fotos y poned mucha atención.
miércoles, 9 de noviembre de 2011
Suscribirse a:
Comentarios (Atom)



















